EVOÊÓѶ¡¤(Öйú)ÕæÈËÆ½Ì¨

¿É³ÖÐø·¢Õ¹
kechixufazhanzhili.svg

¿É³ÖÐø·¢Õ¹ÖÎÀí

rongyuyujiangxiang.svg

ÈÙÓþÓë½±Ïî

gudeweidexingdong.svg

¹ÌµÂÍþµÄÐж¯

baogaoyuzhengce.svg

±¨¸æÓëÕþ²ß

Ñ¡ÔñÓïÑÔ
< ·µ»Ø²Ëµ¥
    • English (Global)
    • English (North America)
    • Portugu¨ºs
    • Espa?ol (Latam)
    • M¨¦xico (Mexico)
    • English (Europe)
    • Deutsch
    • Espa?ol (Europe)
    • Italiano
    • T¨¹rk?e
    • Fran?ais
    • Nederlands
    • Polski
    • ?e?tina
    • ¦¥¦Ë¦Ë¦Ç¦Í¦É¦Ê?
    • §µ§Ü§â§Ñ?§ß§ã§î§Ü§Ñ
    • Rom?n?
    • Svenska
    • ÖÐÎÄ
    • AU&NZ
    • ???
    • Ti?ng Vi?t
    • ÈÕ±¾ÕZ
    • Pakistan
    • India
    • Malaysia
    • Sri Lanka
    • Thailand
  • MEA
·ÖÏí
douyin.svg douyin1.svg
douyin.jpg
shipinhao.svg shipinhao1.svg
shipinhaoerweima.jpg
weibo.svg weibo1.svg
weixin.svg weixin1.svg
2020-01-01

¹â·ü·¢µçÏîÄ¿ÈçºÎÌá¸ßÊÕÒæ

ǰÑÔ

¹â·ü·¢µçÏîÄ¿µÄÊÕÒæ¸ßµÍ£¬ÍùÍùÈ¡¾öÓÚϸ½ÚµÄÓÅ»¯Éè¼Æ¡£


±¾ÎÄС¹Ì½«´Ó×é¼þ²à¡¢Äæ±äÆ÷²à¡¢ÕûÌåϵͳµÈ·½ÃæµÄ²¿·Öϸ½Ú£¬½éÉÜÌá¸ßÊÕÒæµÄÉè¼ÆÓÅ»¯´ëÊ©£¬Ï£Íû¶ÔÄúÓÐÓá£


Ò»¡¢×é¼þ²àÓÅ»¯Éè¼Æ´ëÊ©


1¡¢¸ù¾ÝÇé¿ö£¬Ìá¸ßµ¥×é´®µÄ´®ÁªÊýÁ¿

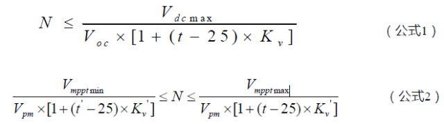
ϵͳÉè¼Æ×¢ÒâÒªµã£ºÔÚ¡¶¹â·ü·¢µçÕ¾Éè¼Æ¹æ·¶(GB 50797-2012)¡·£¬Ìá³öÈçϹ«Ê½¡£



ÉÏÊö¹«Ê½ÖÐVdcmaxÎªÄæ±äÆ÷ÊäÈë×î´óÖ±Á÷µçѹ£¬Vmpptmin¡¢Vmpptmax·Ö±ðÎªÄæ±äÆ÷×îС¹¤×÷µçѹºÍ×î´ó¹¤×÷µçѹ¡£ÆäÒªÇó¿¼ÂÇζÈϵÊýµÄ×é´®¿ªÂ·µçѹҪСÓÚÄæ±äÆ÷×î´óÊäÈëµçѹ£¬¿¼ÂÇζÈϵÊýµÄ×é´®MPPTµçѹҪÔÚÄæ±äÆ÷MPPT¸ú×Ù·¶Î§Ö®ÄÚ¡£


ÒÔ265WµÄ×é¼þ£¬¿ªÂ·µçѹVoc=38.6V,×î¼Ñ¹¤×÷µçѹVmp=31.4V£¬¶Ì·µçÁ÷Isc=9.03A£¬×î¼Ñ¹¤×÷µçÁ÷Imp=8.44A£¬¿ªÂ·µçѹµÄζÈϵÊý-0.31%/¡æÎªÀý¡£ËÕÖÝ»·¾³µÄζȼ«¶Ë¸ßÎÂ=40.1¡æ£¬¼«¶ËµÍÎÂ=-8.3¡æ¡£µÃ³ö¿¼ÂÇζÈϵͳӰÏìÏµļ«¶ËµÍÎÂVoc=42.58V£¬¼«¶ËµÍÎÂVmp=34.64V£¬¼«¶Ë¸ßÎÂVmp=27.02V¡£


Äæ±äÆ÷Ïà¹Ø¼¼Êõ²ÎÊýÈçÏ£º



×îÖÕ¿¼Âǵ½ÉÏÊöÁ½¸ö¹«Ê½µÃ³ö:×é¼þ´®ÁªµÄ¸öÊýÔÚ10-23¿éÖ®¼ä¶¼ÊÇ¿ÉÒԵġ£ÔÚÉè¼Æ¹ý³ÌÖУ¬½¨ÒéÌá¸ßµ¥×é´®µÄ´®ÁªÊýÁ¿£¬½ÓÖÁ20¿éÒÔÉÏ£¬´ïµ½ÓÅ»¯Éè¼ÆµÄЧ¹û¡£ÒÔÿ´®22¸ö×é¼þºÍÿ´®20¸ö×é¼þÀ´½øÐжԱȣ¬×îÖÕÿ´®22¸ö×é¼þµÄ¹â·üÏîÄ¿ÔÚ¼õÉÙÏîĿͶ×Ê£¬¼õÉÙÏßËð·½Ãæ±íÏÖ¸ü¼Ñ¡£


2¡¢ºÏÀí²ÉÓøßЧµÄ¹â·ü×é¼þ

ĿǰÍÁµØ¡¢Îݶ¥µÄ×â½ðÆÕ±éÆ«¸ß£¬ÈçºÎÔÚÒ»¶¨µÄÃæ»ýÀ´ïµ½¸ü¶àµÄ×°»úÁ¿£¬²úÉú¹ý¶àµÄ·¢µçÁ¿£¬ÊǺܶàÆóÒµÖ÷¡¢°²×°É̵ÈÖØµã¿¼ÂǵÄÎÊÌâ¡£²ÉÓúÏÀí¸ßЧµÄ¹â·ü×é¼þ£¬¿ÉÒԺܶàµÄ½â¾öÕâ¸öÎÊÌâ¡£


Ê×ÏÈÀ´¼ÆËãÏ£¬µ¥Î»ÕóÁеĹâ·üÕ¼µØÃæ»ý£º



×îÖյóöµ¥Î»¹â·üÕóÁÐÕ¼µØÃæ»ý=K*×é¼þÃæ»ý£¬ÆäÖÐK=cos¦Â+¡Ósin¦Â, ¡Ó=D/H,´Ó¹«Ê½¿ÉÖª£¬µ±ÏîÄ¿µØµã¡¢°²×°Çã½ÇÈ·¶¨Ê±£¬´Ëµ¥Î»Õ¼µØÃæ»ýΪ¶¨Öµ¡£ÒÔ265W×é¼þºÍ290WµÄ×é¼þÔÚ±±¾©µÄÏîĿΪÀý£¬Ê¹ÓÃ290W×é¼þµÄÕ¼µØÃæ»ýÒª½ÚÊ¡28.13%×óÓÒ¡£ÔÚÍÁµØ¡¢Îݶ¥×â½ð½Ï¸ßµÄÇøÓò£¬¸ßЧ×é¼þµÄÓÅÊÆ¸ü¼ÓÃ÷ÏÔ¡£ÔÚÉè¼Æ¹ý³ÌÖУ¬½¨ÒéºÏÀí²ÉÓøßЧµÄ¹â·ü×é¼þ¡£


3¡¢ÓÅ»¯°²×°Çã½Ç£¬Ìá¸ßµ¥Î»Ãæ»ýÊÕÒæ

´ÓÉϸöµ¥Î»¹â·üÕóÁÐÕ¼µØÃæ»ýµÄ¹«Ê½¿ÉÖª£¬µ¥Î»ÕóÁÐÕ¼µØÃæ»ý=×é¼þÃæ»ý*£¨cos¦Â+¡Ósin¦Â£©£¬°²×°µÄÇã½ÇÓ°ÏìÕ¼µØµÄÃæ»ý¡£µ±Çã½Ç¼õСʱ£¬×é¼þ¼ä¾à±äС£¬µ¥Î»Ãæ»ý×°»úÈÝÁ¿Ôö´ó£¬Í¬Ê±Çã½ÇСÓÚ¹â·ü×é¼þµÄ×î¼ÑÇã½Çʱ£¬»á½µµÍ·¢µçÁ¿¡£ËùÒÔ£¬½¨Òé¿Í»§ÔÚÉè¼Æ·½°¸ÓÅ»¯Ê±£¬×ۺϿ¼ÂÇ·¢µçÁ¿¡¢ÄêÎݶ¥×â½ð¡¢Äêµç·ÑÊÕÈëµÈÈ·¶¨¹â·üµÄ°²×°Çã½Ç¡£


4¡¢²ÉÓúÏÀíµÄ×é¼þ°²×°·½Ïò

ºÜ¶à¿Í»§ÔÚ°²×°¹â·üϵͳʱ£¬Ïë±Ø¶¼»á¿¼ÂÇ×é¼þµÄ°²×°·½ÏòÎÊÌ⣬ÊǺáÏò»¹ÊÇÊúÏò¡£



Õë¶ÔÕâÖÖÎÊÌ⣬ºÜ¶à³§¼Ò¶Ô×é¼þµÄÁ½ÖÖ°²×°·½Ê½½øÐÐÁ˱Ƚϣ¬µÃ³öµÄ±í¸ñÈçÏ£º



×ۺϷÖÎö£¬½¨Òé²ÉÓÃÊúÏò²¼Öõķ½Ê½£¬¾­¼ÃÐ§Òæ»á¸üºÃ£¬Í¬Ê±ÔÚÉè¼ÆÖ®³õ£¬Òª±£Ö¤°²×°µÄ¹â·üϵͳÔÚ¶¬ÖÁÈÕÕæÌ«Ñôʱ²»ÕÚµ²¡£


¶þ¡¢Äæ±äÆ÷²àÓÅ»¯Éè¼Æ´ëÊ©


1¡¢Ñ¡ÔñÐÔÄÜÎȶ¨¡¢ÖÊÁ¿¿É¿¿µÄÄæ±äÆ÷

Äæ±äÆ÷µÄÕæÊµÊ¹ÓÃЧÂÊ=Äæ±äת»»Ð§ÂÊ*Äæ±äÆ÷¶¯Ì¬MPPTЧÂÊ¡Á¿ÉÓÃÂÊ¡ÁÕæÊµÊÙÃüÂÊ¡±£¬ÕâÊǹâ·üÄæ±äÆ÷ÖйúЧÂʵ͍Ò幫ʽ¡£ÆäÖÐÄæ±äÆ÷µÄת»»Ð§ÂʺÍÄæ±äÆ÷¶¯Ì¬MPPTЧÂÊÔÚÐû´«ÊÖ²áÉ϶¼ÊÇ¿ÉÒÔ¿´µ½µÄ£¬µ«¿ÉÓÃÂʺÍÕæÊµÊÙÃüÂÊÊDz»ºÃÆÀ¹ÀµÄ£¬µ«·´Ó¦µ½²úÆ·ÉÏ£¬Èç¹ûÒ»¼Ò¹«Ë¾×öµÄ²úÆ·£¬×¢ÖØÖÊÁ¿£¬±»´ó¶àÊý¿Í»§ÈϿɣ¬¾Í¿ÉÒÔ´óÖÂÔ¤¼ÆÕâ¼Ò¹«Ë¾²úÆ·ÎÊÌâ²»´ó£¬ÓÐרҵµÄÆ·ÅÆ¼ÛÖµ¡£ËùÒÔ½¨Òé¿Í»§ÔÚÑ¡ÔñÄæ±äÆ÷ʱ£¬ÒªÑ¡ÔñÐÔÄÜÎȶ¨¡¢ÖÊÁ¿Á¼ºÃ²úÆ·¡£


2¡¢Ñ¡ÔñºÏÊʰ²×°Î»Ö㬱ÜÃâÑô¹âÖ±Éä

Ò»°ãµÄÄæ±äÆ÷¶¼¾ßÓÐIP65µÄ·À»¤µÈ¼¶£¬Äܹ»ÍêÈ«·ÀÖ¹·Û³¾½øÈ룬¶ÔÒ»¶¨Ñ¹Á¦Ï³¤ÆÚ½þÈëË®ÖÐÓзÀ£¬ÓÐIP65·À»¤µÈ¼¶µÄÄæ±äÆ÷Äú¿ÉÒÔ·ÅÐݲװÔÚÊÒÍâ¡£µ±ÔÚ×öÄæ±äÆ÷ÓÅ»¯Éè¼ÆÊ±£¬½¨ÒéÒ»¶¨Òª¸øÄæ±äÆ÷¼Ó×°¸Ç°å£¬»ò°²×°ÔÚÎÝéÜÏ£¬»ò°²×°ÔÚÖ§¼ÜÉÏ£¨×é¼þÏ·½£©£¬µÈ£¬±£Ö¤±ÜÃâÑô¹âÖ±É䣬¼õÉÙ¸÷ÖÖ²»ÀûÒòËØµÄÓ°Ï죬±£ÕϹâ·üϵͳȫÉúÃüÖÜÆÚµÄͶ×ÊÊÕÒæ¡£


Èý¡¢Õû¸öϵͳÓÅ»¯Éè¼Æ´ëÊ©


1¡¢Ñ¡ÔñÐԵĽøÐÐ×é¼þ³¬Åä

Ò»°ãÀ´Ëµ£¬×é¼þ±ê³ÆµÄ¹¦ÂÊÊÇÔÚSTCµÄ²âÊÔ»·¾³Ï²âµÃµÄ£¬ÆäÒªÇó¹âÕÕÇ¿¶È1000W/m2£¬µç³ØÎ¶È25¡æ£¬´óÆøÖÊÁ¿1.5,µ«ºÜ¶àµØ·½µÄ¹âÕÕÇ¿¶È´ï²»µ½1000 W/m2£¬Õâ¾Í»á³öÏÖ×é¼þÊä³ö¹¦ÂʱäµÍµÄÇé¿ö£¬ÈçÏÂËùʾΪ×é¼þ²»Í¬²âÊÔ»·¾³ÏµÄÊä³ö¹¦ÂÊ£º



Ò»°ãÀ´Ëµ1MWµÄ¹â·ü×é¼þ£¬³öÁ¦ºÜÄÑ´ïµ½1MW£¬Ò»°ã¶¼ÔÚ80%ÒÔÄÚ£¬Îª±ÜÃâÄæ±äÆ÷µÄÀË·Ñ£¬½¨ÒéÊʵ±µÄ³¬Åä¡££¨²Î¿¼£º³¬Åä±ÈÐÅÏ¢¶ÔÕÕ±í£©


2¡¢¼ì²â²¢Íøµãµçѹ£¬½µµÍ¹ýѹ½µÔØ·çÏÕ

ÔÚ¹â·üÏîÄ¿Éè¼ÆÖ®³õ£¬½¨ÒéÈËÔ±µ½ÏîÄ¿ÏÖ³¡²âÁ¿²¢ÍøµãµÄµçѹֵ£¬ÔÚ°²×°Íê¹â·üϵͳºó£¬²¢ÍøµãµÄµçѹ»áÉý¸ß¡£Èç¹ûÔÚûÓа²×°Ç°²âÁ¿µÄµçѹֵÒѾ­ºÜ¸ß£¬ÔÚ²¢ÍøºóºÜ´ó³Ì¶È»á³öÏÖÍÑÍø¡¢¹ýѹ½µÔصÄÏÖÏó£¬Ê¹¹â·üϵͳ²»Äܹ¤×÷ÔÚ×î´ó¹¦ÂʵãµÄ״̬¡£ÒÔµ¥Ïà²¢ÍøµãΪÀý£¬Èç¹ûû½Ó¹â·üϵͳ£¬²âµÃµÄµçѹÒÑ´ïµ½260VÒÔÉÏ£¬²»½¨ÒéÔÙ×ö¸ÃÏîÄ¿¡£



×ܽá

ÎÄÖнéÉÜÁ˺ܶàÖÖÓÅ»¯Éè¼Æ·½°¸µÄ´ëÊ©£¬Ð¡¹ÌÌáÐÑÄúÔÚÔËÓÃʱ£¬ÐèÒªÒòµØÖÆÒ˵ĽøÐÐϸ½ÚÓÅ»¯Éè¼Æ£¬À´ÊµÏÖ¸ü¸ßµÄÐÑĿͶ×ÊÊÕÒæÂÊ¡£

¼ÓÈëÎÒÃÇ

¶©ÔĹ̵ÂÍþ

ÔÚÊäÈëÄúµÄÏêϸÐÅÏ¢ÒÔ½ÓÊÕÐÅÏ¢

Äú´ÓÄÄÀïÁ˽⵽¹ÌµÂÍþ?...

three

two

one

ÑéÖ¤Âë:*

ÎÒͬÒâ Òþ˽Õþ²ß ²¢½ÓÊÜÕâЩÌõ¼þ

Ìá½»

¡¾ÍøÕ¾µØÍ¼¡¿¡¾sitemap¡¿